Les Miserables Worksheet Answer Key Movie

Les Miserables Worksheet Answer Key Movie - Describe jean valjean's life story, from childhood to conviction. For the teacher i have an answer key attached with the answers highlighted and marked in red so you can easily see them. Movies/ tv programmes matching (bw+key) level: A sprawling epics that focuses on the social outcasts of early 19th century france, it is both an homage to the french culture and a compendium of timeless observations of human nature.

Les Misérables Movie Guide Questions Worksheet (Pg13 2012)

Les Misérables Movie Guide Questions Worksheet (PG13 2012)

Explore insightful questions and answers on les misérables at enotes. He says there is more joy in heaven over one repentant sinner that a hundred men's 'white robes' or holiness. This is the musical version with hugh jackman, russell crowe and anne hathaway.

Ask And Answer Questions About The Novel Or View Study Guides, Literature Essays And More.

This little mini unit has students following along with the movie, taking a short quiz to show they were paying attention, and then creating a one pager to show understanding of character and themes! This les misérables movie guide is for the 1998 version of the film starring liam neeson. 1133 talking about films level:

This Is The Musical Version With Hugh Jackman, Russell Crowe And Anne Hathaway.

Challenge students connect the experiences of jean valjean, javert, and cosette to their own lives and. Movie guide, quiz, and one pager for the movie musical les misérables. Valjean promises to care for cosette after fantine's death.

A Student Movie Guide, Pdf Print Version (5 Pages) A Student Movie Guide, Pdf Digital Fillable Form Version (5 Pages) A Google Forms Version Of The Movie Guide;

This les misérables movie guide is for the 1998 version of the film starring liam neeson. How was the french justice system portrayed throughout the movie ? You receive the material and solutions in pdf format for easy printing and in docx format for individual customization.

The 1998 Film Version Is Beautiful And Well Made With Some Powerful Performances.

1 king 2 revolution 3 france 4 future 5 barricade reader's own answer. He was treated as a social outcast after his release. This movie guide has 35 questions that are in chronological order throughout the movie so students can easily follow along and pull information from the film at the same time.

These Films Tell Parts Of Victor Hugo's Epic Novel Of Poverty, Crime, Redemption, Romantic Love And Revolution In France In The Early 19Th Century.

The questions analyze quotes and themes related to justice, mercy, forgiveness, despair, and love through examples from the film and musical. It has sheets on all of the main characters and gets the students to analyse them and how their portrayal changes throughout the. Students are asked to discuss the complex relationship between javert and valjean using a quote about peace, justice and.

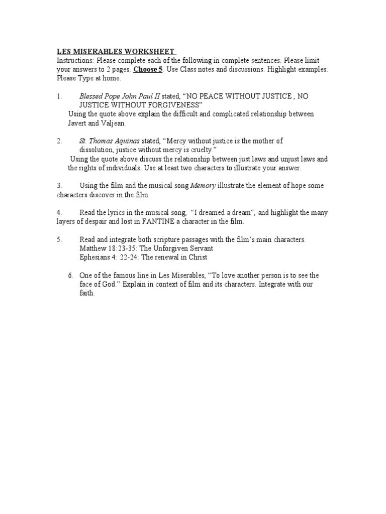
The Document Provides Instructions For A Worksheet On Les Miserables, Asking Students To Answer 6 Questions In 2 Pages Or Less.

Challenge students connect the experiences of jean valjean, javert, and cosette to their own lives and. The 1978 film develops the characters of jean valjean and javert in an excellent fashion. Report this resource to let us know if this resource violates tpt's content guidelines.

In This Literature Worksheet, Students Respond To 20 Short Answer And Essay Questions About Hugo's Les Miserables.

Les misérables film elements worksheet. The worksheet consists of an information text. Last updated by aslan on 12/1/2020 5:29 pm les miserables les miserables.

The File Will Be A Zipped Folder To.

He adopts cosette but is pursued by javert. Jean valjean was imprisoned for 19 years for stealing bread to feed his family. Spanning over 1200 pages, the novel took victor hugo 17 years to complete.

Les Misérables Worksheet Answer Key Level 4 5B 6A 6B 6C 1 2A 2B 3 4 5A 1 C 2 B 3 A 4 B 5 C 6 B 1 Jean Valjean 2 Fantine 3 Cosette 4 Monsieur And Madame Thénardier 5 Javert 6 Marius Pontmercy.

Report this resource to tpt. Published in 1862, les misérables is considered a classic of world literature. Asked by maria a #1082607.

He Was Born To A Peasant Family (Both Of His Parents Were Also Named Jean Valjean) Became A Pruner, His Parents Died, His Sister's Husband Died, Then He Supported Her And.

An answer key (5 pages) is included with this movie guide, however many answers will vary as students are encouraged to construct their own meaning from the characters' dialogue and. Reported resources will be reviewed by our team. The movie les misérables the worksheet consists of an information text.

This Is A Sample Of The 27 Questions That Will Help Students Analyze The 2012 Movie Production Of Les Miserables With Hugh Jackman As Jean Valjean And Russell Crowe As Javert.

Quiz & Worksheet Les Miserables Book Synopsis

Quiz & Worksheet Les Miserables Book Synopsis

Les Miserables Worksheet PDF

Les Miserables Worksheet PDF

Les Miserables Word Search WordMint

Les Miserables Word Search WordMint

Les Misérables Movie Guide Questions Worksheet (PG13 1998)

Les Misérables Movie Guide Questions Worksheet (PG13 1998)

Les Miserables Word Search WordMint

Les Miserables Word Search WordMint

Les Miserables Answer Key PDF Les Misérables

Les Miserables Answer Key PDF Les Misérables

Les Miserables Worksheet

Les Miserables Worksheet

Les Miserables Storyboard por f9426c4d

Les Miserables Storyboard por f9426c4d

Les Misérables Movie Guide Questions Worksheet (PG13 2012) Teaching Resources

Les Misérables Movie Guide Questions Worksheet (PG13 2012) Teaching Resources

Review LES MISERABLES National Tour at Key Bank State

Review LES MISERABLES National Tour at Key Bank State

Les Miserables Still Les Miserables (2012 Movie) Photo (32902250) Fanpop

Les Miserables Still Les Miserables (2012 Movie) Photo (32902250) Fanpop

Watching and Listening activity Les Miserables (2012) (Part two) ESL worksheet by MikoGF

Watching and Listening activity Les Miserables (2012) (Part two) ESL worksheet by MikoGF

Les Miserables ESL worksheet by gyesim

Les Miserables ESL worksheet by gyesim

Les Miserables ESL worksheet by paulaallende

Les Miserables ESL worksheet by paulaallende

Les Misérables Movie Guide Questions Worksheet (PG13 2012)

Les Misérables Movie Guide Questions Worksheet (PG13 2012)